Volume 2, Issue 1
Synthesis and photochemical study of 1- (3-methyl -6- hydroxy benzofuran-2-yl)-carbohydrazide-3- chloro -4- phenylazetidin-2-one
Author(s): Devi Singh Kushwaha, Y.K.Mishra, Ajay M. Chaturvedi
Abstract: New benzofuran derivative 1- (3-methyl -6- hydroxy benzofuran-2-yl)-carbohydrazide-3- chloro -4- phenylazetidin-2-onewas synthesized and after photochemical reaction 1-(3-methyl-6-hydroxybenzofuran-2-yl)-carbohydrazide-3-chloro-4-phenyl azetidine-2-one was obtained in the present work. The structure of the product was characterized by spectral data.

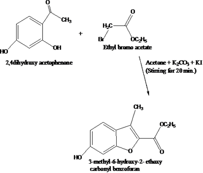
Fig: Reaction of reparation of 3-methyl-6-hydroxy-2-ethoxy carbonyl benzofuran
Download Full Article : Click Here